Devo suspender iECA/BRA durante episódio de IRA hospitalar? Um estudo com mais de 27 mil pacientes tenta responder
**Referência**: Nie S, Li Y, Sun Y, et al. Discontinuation of Renin-Angiotensin System Inhibitors during Acute Kidney Injury Episode and All-Cause Mortality: Target Trial Emulation Studies. JASN. 2025. **[[link](https://journals.lww.com/jasn/abstract/9900/discontinuation_of_renin_angiotensin_system.681.aspx)]**
##### **Caso clínico**
Seu paciente de 73 anos, diabético e hipertenso, está internado para tratar uma pneumonia. No terceiro dia, a creatinina sobe de 1,2 mg/dL para 1,8 mg/dL, caracterizando uma IRA hospitalar (KDIGO estágio 1). Ele faz uso de losartana há anos, com controle adequado da pressão e proteinúria <300 mg/g. Surge a dúvida na enfermaria: suspender ou manter a losartana??
**Essa dúvida, que já gerou muitos debates e discussões entre nefrologistas e clínicos, acaba de ganhar mais evidência com um grande estudo recem publicado no JASN.**
##### **O que o estudo investigou?**
O artigo usou dados de dois grandes bancos, o China Renal Data System e o MIMIC-IV (hospital Beth Israel, Boston), para simular um ensaio clínico (“target trial emulation”) comparando desfechos de pacientes que suspenderam o inibidor do sistema renina-angiotensina (iECA ou BRA) dentro de 2 dias após diagnóstico de IRA hospitalar, versus aqueles que mantiveram a medicação.
Importante: todos os pacientes já faziam uso crônico (≥90 dias) de iECA ou BRA antes do episódio de LRA.
##### **E o que foi observado?**
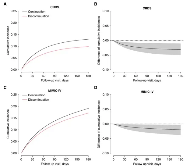
Suspender o iECA/BRA nas primeiras 48h após LRA hospitalar reduziu a mortalidade em até 3%.
**No banco chinês (CRDS):**
* Mortalidade 30 dias: 4,4% vs 5,9% (diferença de risco −1,55%).
* Mortalidade 180 dias: 9,9% vs 13,0% (diferença de risco −3,12%).
**No banco americano (MIMIC-IV):**
* Mortalidade 30 dias: 5,9% vs 6,7% (diferença −0,79%).
* Mortalidade 180 dias: 17,1% vs 19,1% (diferença −1,98%).
Além disso, a suspensão precoce do RASi também foi associada a maior taxa de recuperação da função renal em 7 dias.

Figura 2. Incidências cumulativas e diferenças de risco entre pacientes com descontinuação ou manutenção de RASi em até 180 dias.
(A) Incidência cumulativa de mortalidade por todas as causas no banco de dados CRDS.
(B) Diferença de risco entre pacientes com descontinuação ou manutenção de iRAS no banco de dados CRDS.
(C) Incidência cumulativa de mortalidade por todas as causas no banco de dados MIMIC-IV.
(D) Diferença de risco entre pacientes com descontinuação ou manutenção de iRAS no banco de dados MIMIC-IV.
##### **Por que esse achado é importante?**
Há anos sabemos que reiniciar iECA ou BRA após a alta de um paciente com IRA pode ser benéfico, especialmente para pacientes com DRC e proteinúria... Mas havia escassez de dados sobre o que fazer durante o episódio agudo.
Este estudo fornece dados robustos e consistentes mostrando que interromper temporariamente o RASi nos primeiros dias após a detecção da IRA pode reduzir a mortalidade, mesmo em pacientes que vinham usando cronicamente a medicação.
Os autores destacam que esse efeito foi mais evidente em pacientes de maior risco: idade ≥70 anos, estágio 3 de IRA, e presença de câncer.
##### **E depois, quando retomar ?**
Essa continua sendo uma zona cinzenta... Estudos prévios mostram que retomar o RASi após a recuperação da IRA está associado a melhor sobrevida — mas o timing ideal ainda não está claro. O que sabemos:
• Reinício precoce (≤90 dias) pode ter maior risco do que reinício tardio (>90 dias), segundo alguns estudos.
• A decisão deve ser individualizada e baseada na recuperação da função renal, controle pressórico e risco de recorrência de IRA.
##### **Mensagem final do NefroAtual**
Suspender temporariamente iECA ou BRA em pacientes com IRA hospitalar, especialmente nas primeiras 48h, parece ser uma estratégia segura e possivelmente protetora. Não se trata de abandonar os iRAS, mas de pausar até que a fase aguda passe.
Você já adota essa prática no hospital? Costuma retomar o iRAS após a recuperação da IRA? Comenta aqui!